测试参与者:红尘 霁岚秋 喵呜酱 休眠宝宝(拼音首字母顺序排列)
数据提供:红尘 霁岚秋 喵呜酱 休眠宝宝(拼音首字母顺序排列)
文案总结:霁岚秋
先说一下大家最关心的成果吧
【本次成果】

接下来是证明过程
【步骤一:测试方法初步定型】通过休眠宝宝(图1-3)和红尘(图4)最初的实验数据 对于公式的讨论开始了
【主要参与者:喵呜酱 红尘 休眠宝宝】
【数据提供:喵呜酱 红尘 休眠宝宝】
此时证明过程还在初步探索阶段
由喵呜酱提出“平A可以看做系数为1的技能” 于是简化公式 暂时排除技能系数的影响
而此时 我(霁岚秋)还在外面压马路 他们居然在偷偷背着我测公式(其实这时还没组团)
图一(休眠宝宝)

图二(休眠宝宝)

图三(休眠宝宝)

图四(红尘)

休眠宝宝提出“最终实际伤害为[区间内取等差数列]”(也就是所谓的伤害浮动,下称标准值猜想)
喵呜酱进一步 证明存在标准值(如下图)

以此为基础 休眠宝宝推算出 本游戏后台存在11个等差数据(即伤害浮动可能出现11种情况)
有了求标准值的方法 验算公式就简单多了
同时 红尘 发现了 游戏文案中存在描述性bug 头衔的20%最终伤害 实际为普通伤害

测试方法:小号换2星曹仁,无羁绊。
结论:2星被动的最终减伤是另外计算的。
在这里,我们把头衔压制的最终增伤20%归入普通增伤,普通增免和抗灭是累计,最终增免是另外计算。(头衔的最终增伤是普通增伤)

【步骤二:列举可能的公式并逐一筛查】没错 这时候还是没有我(霁岚秋)
【主要参与者:喵呜酱 红尘 休眠宝宝】
【数据提供:喵呜酱 红尘 休眠宝宝】
由喵呜酱列出了 共4种可能公式 并逐一筛查(如下图)

【步骤三:证明可能性2中增减抗灭属性是加法运算】此时可爱帅气地我加入了推算
【主要参与者:霁岚秋】
【数据提供:霁岚秋】
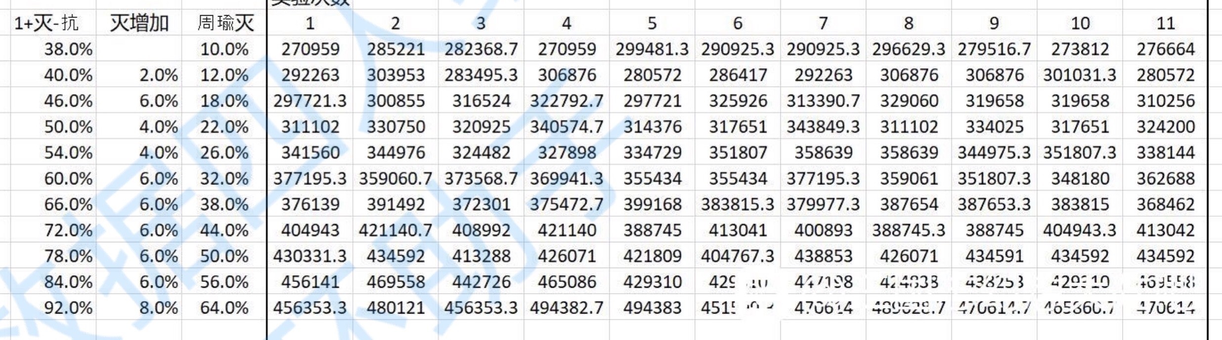
在已有公式的基础上 我(霁岚秋)录了121次普攻数据(共11组每组11次)


F列 代表 1+增伤-减免+灭-抗
显然 当1+灭-抗 处于38%到82%范围时 百分比完全一致(即公式成立)
图三X轴Y轴分别为 F列和AG列
【步骤四:进一步精确公式】红尘在我数据的基础上 再次验证中位数 证明公式与实际误差小于0.1%(如下图1和2)
【主要参与者:红尘 喵呜酱】
【数据提供:霁岚秋】


【步骤五:证明属性上限下限】通过代入公式 发现低于30%后 伤害不再降低
【主要参与者:红尘】
【数据提供:红尘】
故 证明(1+最终伤害-最终减免)下限30%

故 证明(1+增伤-减免+灭-抗小于30% )下限为30%

【步骤六:将公式推展至怒攻】由休眠宝宝 将数据代入已有公式 加上怒攻系数 理论伤害与实际标准值吻合
【主要参与者:休眠宝宝】
【数据提供:休眠宝宝】
故 怒攻公式得证

【步骤七:暴击伤害公式】在最初的普攻伤害公式测试阶段 数据本身已经考虑进了爆伤的算法(注意图中带小数点的数据 是暴击伤害除以1.5得来的)
【主要参与者:霁岚秋】
【数据提供:霁岚秋】

更多公式:伤害公式大全


说点什么吧~